

ก่อนอื่นเราต้องเข้าใจก่อนว่า "หาค่าไม่ได้" ไม่ได้มีความหมายในทางคณิตศาสตร์
เหมือนกับมีคนถามเราว่า กินไรกันดี? แล้วน้องตอบไปว่า กินอะไรก็ได้ (อารมณ์เดียวกันครับ ฮ่าๆ)
เพราะในความหมายของคนไทยคำว่า "หาค่าไม่ได้" มักจะหมายถึง คำตอบอะไรก็ได้ที่ไม่ใช่ตัวเลข ในตำราระดับสากลก็ไม่มีใครนิยามคำนี้ ดังนั้น คำว่าค่าหาไม่ได้ ไม่ใช่คำตอบที่ถูกที่สุดแน่นอน และพี่เองก็ไม่แนะนำให้เราใช้คำนี้ด้วย ดังนั้น ข้อ 3. หาค่าไม่ได้ ผิดครับ
ทีนี้มาวิเคราะห์กันต่อ หรือมันตอบ infinity ล่ะ?
ถ้าเราตอบข้อนี้แสดงว่าเราน่าพอมีความเข้าใจเรื่องลิมิต แต่นั่นยังไม่ใช่คำตอบที่ถูกครับ มาดูเหตุผลกั
เนื่องจาก x=0 ไม่ได้อยู่ในโดเมนของฟังก์ชัน f(x)=1/x ทำให้ไม่สามารถแทน x=0 เพื่อหาค่าของ f(0) ได้ตรงๆ ดังนั้น 1/0 เกิดจากการแทนค่าลิมิต x→ 0 เข้าไปในฟังก์ชัน 1/x ครับ

แต่! ลิมิตจะหาค่าได้ก็ต่อเมื่อลิมิตซ้ายและลิมิตทางขวาต้องเท่ากัน ถึงจะบอกได้ว่ามีลิมิตที่จุดนั้น ลองมาคำนวณในกรณีนี้กันครับ
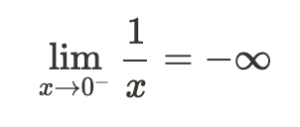
จากกราฟจะเห็นว่าเส้นกราฟสีฟ้าดิ่งลงไปสู่ -∞ เมื่อ x มีค่าเข้าใกล้ 0 ทางซ้าย หรือประมาณ -0.0000001 หรือเขียนในรูปลิมิตได้ว่า

จากกราฟจะเห็นว่าเส้นกราฟสีฟ้าพุ่งขึ้นไปสู่ ∞ เมื่อ x มีค่าเข้าใกล้ 0 ทางขวา หรือประมาณ 0.0000001 หรือเขียนในรูปลิมิตได้ว่า

จะเห็นว่าลิมิตซ้ายและขวาของ x→0 มีค่าไม่เท่ากัน ดังนั้น "ไม่มีลิมิต" หรือ "Limit does not exist" ดังนั้น ข้อ 1. infinity หรือ อนันต์ ก็ผิดเช่นกันครับ
ก็เหลืออยู่ข้อเดียวแล้วสินะ ก่อนอื่นต้องมาทำความเข้าใจก่อนว่าทำไมเราไม่สามารถเอา 1 มาหารด้วย 0 ได้

สมมุติว่าเรามีขนมอยู่ทั้งหมด 12 ถ้วย ต้องการแบ่งให้คน 3 คนเท่าๆกัน จะได้คนละ 4 ถ้วย นั่นคือ 12 หาร 3 = 4
แต่ในทำนองกลับกัน การเอา 12 หาร 0 เหมือนเราพยายามแบ่งขนม 12 ถ้วย ให้คน 0 คนเท่าๆกัน แค่นี้ก็แปลกๆแล้วใช่มั้ยครับ เพราะมันไม่น่าจะทำได้
ถ้าอธิบายตามหลักพีชคณิต
12 หาร 3 = 4 → 12=4*3
แต่หาก 12 หาร 0 = x → 12=x*0 จะเห็นว่า x ไม่มีคำตอบเป็นจำนวนจริงใดเลย
จากปัญหานี้ ทำให้นักคณิตศาสตร์สร้างข้อตกลงว่าในการหาร ตัวหารจะเป็น 0 ไม่ได้
ดังนั้นการ 1/0 จึงตอบว่า "ไม่นิยาม" หรือในตำราสากลจะใช้คำว่า "undefined" นั่นเอง ดังนั้น ข้อ 2. ไม่นิยาม จึงเป็นคำตอบที่ถูกต้อง

ส่วนใครที่เรียนวิศวะฯ วิทยาฯ ครุฯ ใครที่อยากเพิ่มความมั่นใจก่อนจะเข้ามามหาลัยทางสถาบัน be-engineer มีคอร์สปรับพื้นฐานออนไลน์ วิชาแคลคูลัส ฟิสิกส์ และเคมี สามารถสมัครได้ที่เว็บไซต์ be-engineer.com หรือ Facebook